Table of Links
- 
Clocks at Earth-Moon Lagrance Points 4.1 Clock at Lagrange point L1 
Appendix 1: Fermi Coordinates with Origin at the Center of the Moon
Appendix 2: Construction of Freely Falling Center of Mass Frame
Appendix 3: Equations of Motion of Earth and Moon
Appendix 4: Comparing Results in Rotating and Non-Rotating Coordinate Systems
Acknowledgments and References
APPENDIX 4: COMPARING RESULTS IN ROTATING AND NON-ROTATING COORDINATE SYSTEMS
We calculate the fractional difference between a clock on the Moon’s surface and a clock on the Earth’s surface in three different coordinate systems. These are (1) the center-of-mass locally inertial system; (2) a rotating system in which the x−axis is along the Earth-Moon line; and (3) a translated, rotating system in which the Earth is at the origin of coordinates and the Earth-Moon line is in the x′ direction. We show that in all three coordinate systems, the fractional rate difference is the same. A Keplerian orbit is assumed for the Earth-Moon system. To simplify the calculations we assume that the clocks are on the surfaces of the respective bodies. This is an approximation that can be refined when the actual positions of the clocks are specified.
4.1 Center-Of-Mass inertial coordinate system
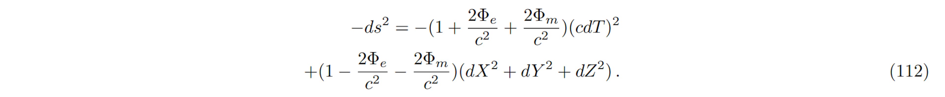
The scalar invariant in the locally inertial frame whose origin is at the center of mass of the Earth-Moon system, neglecting tidal terms, is



The difference in the last term represents a difference of squares of velocities.
4.2 Rotating center-of-mass coordinates
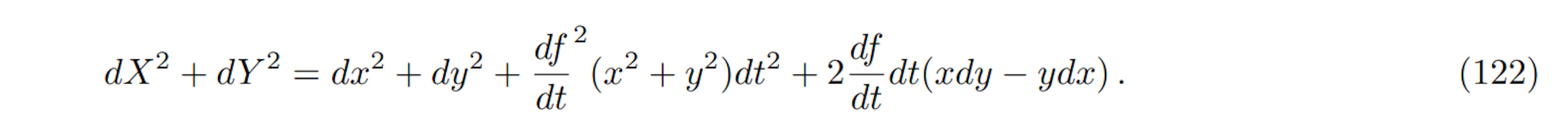
Introduce a rotating system with an Earth-Moon line along the new x-axis:
X = x cos(f) − y sin(f);
Y = x sin(f) + y cos(f);
T = t.
Then

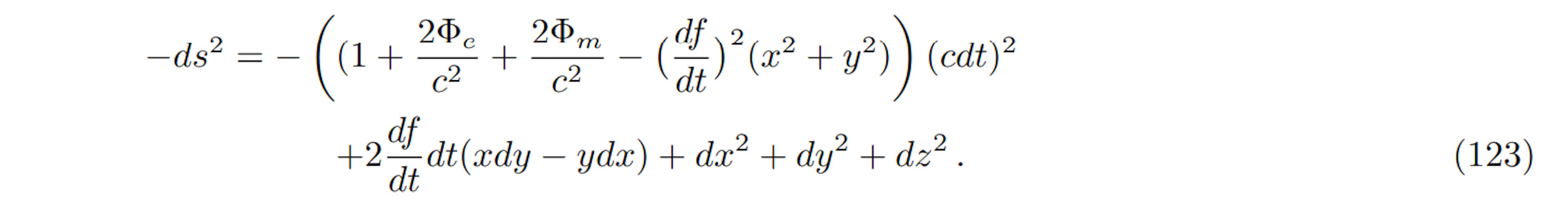
The scalar invariant becomes

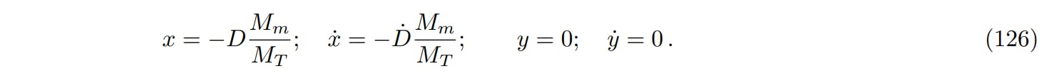
For a clock on the Moon,

For a clock on the Moon, there is no contribution from the Sagnac term. The proper time interval is

Note that there is a significant contribution from the centrifugal potential. For a clock on Earth,

The proper time interval is then

The fractional proper time interval difference reduces exactly to the expression in Eq. (120).
4.3 Rotating coordinates with Earth at origin
This implies the use of a coordinate system in which the Earth is not moving. This has to be a rotating coordinate system with its origin coinciding with the Earth’s center. Therefore translating the origin to the center of the Earth, with no change in the time variable,

The scalar invariant becomes

The potentials in the last term have been suppressed since they do not contribute to the order of this calculation. For a clock on the surface of the Moon,

There is no contribution from the Sagnac term but there is a significant contribution from the centrifugal potential, representing the transverse velocity of the Moon. The radial velocity of the Moon comes from the spatial part of the metric. The proper time interval for such a clock is

For a clock on the surface of the Earth,
x′ = y′ = x′ = y′ = 0.
The proper time interval is

It is easily seen that the fractional proper time difference reduces to expressions that have been previously derived.
Thus in all three coordinate systems, the fractional proper time difference is the same.
Acknowledgments
We would like to acknowledge the funding we received from the NASA grant NNH12AT81I. We are grateful to Elizabeth Donley, who carefully and critically reviewed the manuscript and provided valuable suggestions. We would also like to express our gratitude to Cheryl Gramling for initiating discussions on lunar time. We extend our sincere thanks to Roger Brown, Thomas Heavner, Judah Levine, Jeffrey Sherman, and Daniel Slichter for their review of the manuscript. This work is a contribution of NIST and is not subject to US copyright.
[1] Artemis Plan: NASA’s Lunar Exploration Program Overview, https://www.nasa.gov/sites/default/files/atoms/files/ artemis plan-20200921.pdf, Sept. 2020
[2] Einstein, A. The Collected Papers of Albert Einstein, Volume 6: The Berlin Years: Writings, 1914-1917 Princeton University Press, 1996.
[3] Park RS, Folkner WM, Williams JG, and Boggs DH, The JPL Planetary and lunar Ephemerides DE440 and DE441, AJ. 161 105, 2021
[4] Ashby N, Relativity in the Global Positioning System, Liv. Rev. Relativity 6, [Online Article]: cited Sept. 14, 2023, http://www.livingreviews.org/lrr-2003-1.
[5] International Astronomical Union (IAU), Proceedings of the Twenty-Fourth General Assembly,” Transactions of the IAU, XXIVB,pp. 34-57,2000
[6] Ashby N and Bertotti B, Relativistic effects in local inertial frames, Phys. Rev. D 14(8), 1986 (Appendix), 2246-2259.
[7] Ashby N and Allan D, Practical Implications of Relativity for a Global Time Scale, Radio Science 14, 1979, pp 649-669.
[8] Bertone, S, Arnold, D, Girardin, V, Lasser, M, Meyer, U, J¨aggi, A, Assessing Reduced-Dynamic Parametrizations for GRAIL Orbit Determination and the Recovery of Independent lunar Gravity Field Solutions, Earth and Space Science, 2021, https://doi.org/10.1029/2020EA001454.
[9] Ries JC, Eanes RJ, Shum CK, Watkins MM (20 March 1992). ”Progress in the determination of the gravitational coefficient of the Earth”. Geophysical Research Letters. 19 (6): 529–531.
[10] CODATA 2006, physics.nist.gov/cuu/Constants
[11] Mohr PJ, Taylor BN, and Newell DB, The CODATA recommended values of the fundamental physical constants: 2006, Rev. Mod. Phys., 80, pp. 633-730, 2008
[12] Konopliv AS, et al., The JPL lunar gravity field to spherical harmonic degree 660 from the GRAIL Primary Mission, J. Geophys. Res. Planets, 118, 1415–1434, 2013, doi:10.1002/jgre.20097
[13] Daher, H et al., Long-Term Earth-Moon Evolution With High-Level Orbit and Ocean Tide Models, Journal of Geophysical Research: Planets, 126(12), 2021, e2021JE006875. https://doi.org/10.1029/2021JE006875
[14] Petit G and Wolf P, Relativistic theory for time comparisons: a review Metrologia, 42 (3), 2005, S138
Authors:
(1) Neil Ashby, National Institute of Standards and Technology, Boulder, CO 80305 ([email protected]);
(2) Bijunath R. Patla, National Institute of Standards and Technology, Boulder, CO 80305 ([email protected]).
