Table of Links
-
Clocks at Earth-Moon Lagrance Points
4.1 Clock at Lagrange point L1
Appendix 1: Fermi Coordinates with Origin at the Center of the Moon
Appendix 2: Construction of Freely Falling Center of Mass Frame
Appendix 3: Equations of Motion of Earth and Moon
Appendix 4: Comparing Results in Rotating and Non-Rotating Coordinate Systems
Acknowledgments and References
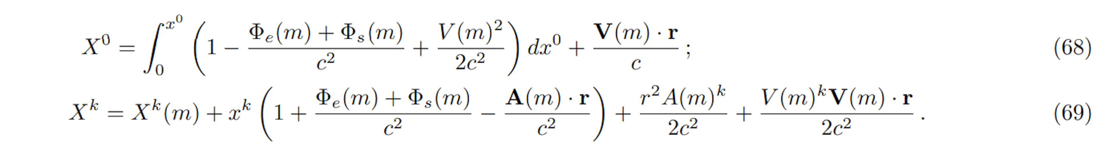
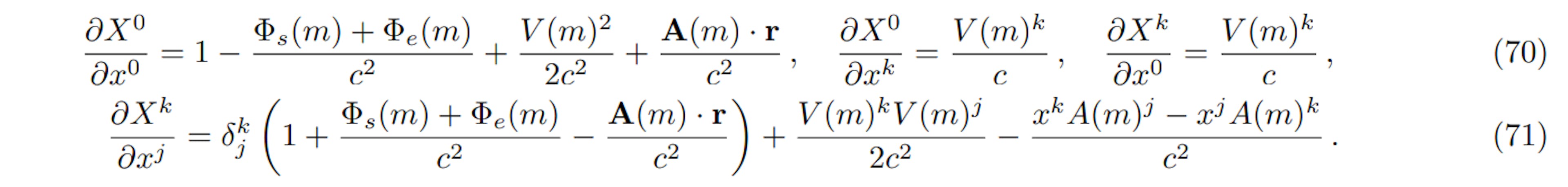
APPENDIX 1: FERMI COORDINATES WITH ORIGIN AT THE CENTER OF THE MOON

We give the transformation equations between barycentric coordinates and Fermi normal coordinates with the center at the Moon as follows:[6]

Here, the notation (m) as in V(m) represents quantities evaluated at the Moon’s center of mass. The quantity V (m) is the magnitude of the Moon’s velocity. Transformation coefficients can be derived and are:

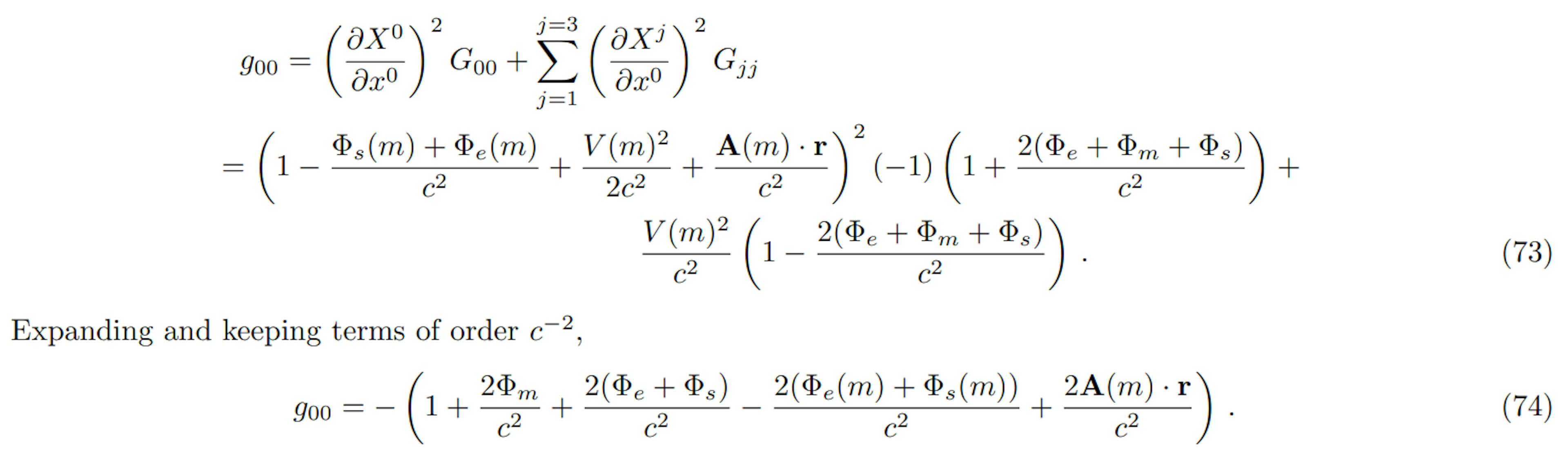
Transformation of the metric tensor is accomplished with the usual formula:

where the summation convention for repeated indices applies. Thus, for the time-time component of the metric tensor in the freely falling frame,




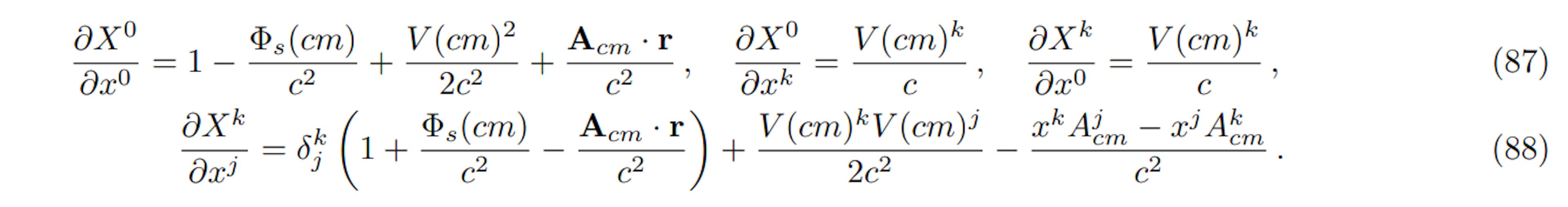
APPENDIX 2: CONSTRUCTION OF FREELY FALLING CENTER OF MASS FRAME

The transformation coefficients are easily obtained from the above coordinate transformations and are

Transformation of the metric tensor using Eq. (72): the metric component g00 in the center of mass frame,




Summarizing, the scalar invariant in the center of mass system is

Authors:
(1) Neil Ashby, National Institute of Standards and Technology, Boulder, CO 80305 ([email protected]);
(2) Bijunath R. Patla, National Institute of Standards and Technology, Boulder, CO 80305 ([email protected]).